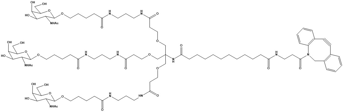
tri-GalNAc DBCO Product Catalog # Size Price (USD) Quantity tri-GalNAc DBCO250704-100MG100 mgPlease InquirePlease Inquiretri-GalNAc DBCO250704-500MG500 mgPlease InquirePlease Inquiretri-GalNAc DBCO250704-1G1 gPlease InquirePlease Inquire Description Molecular Formula: C91H144N12O30 Molecular Weight: 1886.2