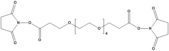
NHS-PEG4-NHS

           
Product Catalog # SizePrice (USD) Quantity
$430.00
$1,075.00
Synonym: α, ω-Disuccinimidyl tetraethylene glycol
CAS #: 756526-03-1
Molecular Formula: C22H32N2O13
Molecular Weight: 532.5