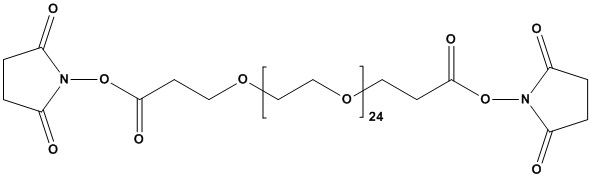
NHS-PEG24-NHS Product Catalog # Size Price (USD) Quantity NHS-PEG24-NHS281909-250MG250 mg$576.00 - NHS-PEG24-NHS-250mg quantity + NHS-PEG24-NHS281909-1G1 g$1,327.00 - NHS-PEG24-NHS-1g quantity + Add to cart Description Molecular Formula: C62H112N2O33 Molecular Weight: 1413.5