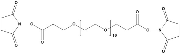
NHS-PEG16-NHS Product Catalog # Size Price (USD) Quantity NHS-PEG16-NHS281908-250MG250 mg$549.00 - NHS-PEG16-NHS-250mg quantity + NHS-PEG16-NHS281908-1G1 g$1,265.00 - NHS-PEG16-NHS-1g quantity + Add to cart Description Synonym: α, ω-Disuccinimidyl hexadecaethylene glycol Molecular Formula: C46H80N2O25 Molecular Weight: 1061.1