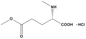
N-Me-Glu(OMe)-OH•HCl

           
Product Catalog # SizePrice (USD) Quantity
$1,224.00
$3,672.00
Molecular Formula: C7H13NO4•HCl
Molecular Weight: 211.6