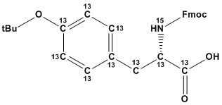
Fmoc-Tyr(tBu)-OH (13C9,15N) Product Catalog # Size Price (USD) Quantity Fmoc-Tyr(tBu)-OH (13C9,15N)182057-100MG100 mgPlease InquirePlease InquireFmoc-Tyr(tBu)-OH (13C9,15N)182057-500MG500 mgPlease InquirePlease InquireFmoc-Tyr(tBu)-OH (13C9,15N)182057-1G1 gPlease InquirePlease Inquire Description Labeled CAS #: 1217442-53-9 Unlabeled CAS #: 71989-38-3 Molecular Formula: (13C)9C19H29(15N)O5 Molecular Weight: 469.5