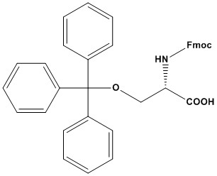
Fmoc-Ser(Trt)-OH

           
Product Catalog # SizePrice (USD) Quantity
$89.00
$268.00
Synonym: N-α-Fmoc-O-trityl-L-serine
CAS #: 111061-56-4
Molecular Formula: C37H31NO5
Molecular Weight: 569.7