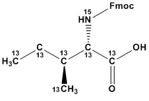
Fmoc-Ile-OH (13C6,15N) Product Catalog # Size Price (USD) Quantity Fmoc-Ile-OH (13C6,15N)180908-100MG100 mgPlease InquirePlease InquireFmoc-Ile-OH (13C6,15N)180908-500MG500 mgPlease InquirePlease InquireFmoc-Ile-OH (13C6,15N)180908-1G1 gPlease InquirePlease Inquire Description Labeled CAS #: 1217442-29-9 Unlabeled CAS #: 71989-23-6 Molecular Formula: (13C)6C15H23(15N)O4 Molecular Weight: 360.4