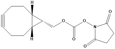
endo-BCN-NHS carbonate Product Catalog # Size Price (USD) Quantity endo-BCN-NHS carbonate290204-500MG500 mg$1,200.00 - endo-BCN-NHS carbonate-500mg quantity + endo-BCN-NHS carbonate290204-1G1 g$1,800.00 - endo-BCN-NHS carbonate-1g quantity + Add to cart Description CAS #: 1426827-79-3 Molecular Formula: C15H17NO5 Molecular Weight: 291.3