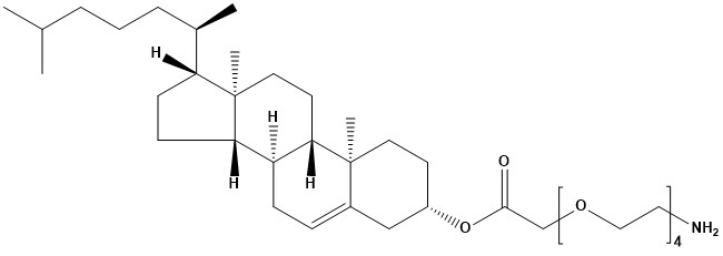
Cholesterol-PEG4-NH2 Product Catalog # Size Price (USD) Quantity Cholesterol-PEG4-NH2280313-100MG100 mg$500.00 - Cholesterol-PEG4-NH2-100mg quantity + Cholesterol-PEG4-NH2280313-500MG500 mg$1,500.00 - Cholesterol-PEG4-NH2-500mg quantity + Cholesterol-PEG4-NH2280313-1G1 g$2,250.00 - Cholesterol-PEG4-NH2-1g quantity + Add to cart Description CAS #: 2611559-85-2 Molecular Formula: C37H65NO6 Molecular Weight: 619.9