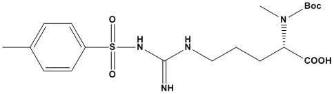
| Synonym: | Nα-Boc-Nα-methyl-Nω-4-toluenesulfonyl-L-arginine) |
| CAS #: | 108695-16-5 |
| Molecular Formula: | C19H30N4O6S |
| Molecular Weight: | 442.5 |
| Synonym: | Nα-Boc-Nα-methyl-Nω-4-toluenesulfonyl-L-arginine) |
| CAS #: | 108695-16-5 |
| Molecular Formula: | C19H30N4O6S |
| Molecular Weight: | 442.5 |