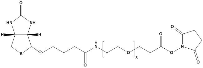
Biotin-PEG8-NHS

           
Product Catalog # SizePrice (USD) Quantity
$741.00
$1,167.00
Molecular Formula: C33H56N4O14S
Molecular Weight: 764.9