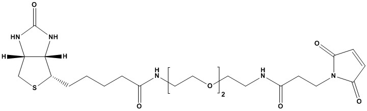
Biotin-PEG2-maleimide

           
Product Catalog # SizePrice (USD) Quantity
$648.00
$1,008.00
CAS #: 305372-39-8
Molecular Formula: C23H35N5O7S
Molecular Weight: 525.6